在材料测试中矢量网络分析仪的应用
在材料测试中矢量网络分析仪的应用
一、介电常数介绍
自然界中大多数物质在微波波段都呈现为有损耗的绝缘体,称之为电介质,简称介质。介质在电场的作用下都会发生极化现象,即介质在外加电场的作用下其内部的正负电荷向着相反方向发生微小位移,从而产生许多电偶极矩。介质极化后在介质内部产生一个极化电场,这个电场的方向与外加电磁场的方向相反,大小与介质的极化程度、物质成分和物理状态,外界温度频率等有关。介质的介电常数定义为电通量D与外加电场强度E的比值,是一个用来衡量介质中的电荷在外加电磁场作用下发生极化后的分布情况的一个常量。
● 物质在静电场中(无电磁波时)的介电常数是一个标量,实数
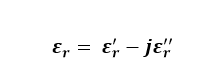
● 物质在交变电场中(有电磁波时)的介电常数是一个复数,如下式:

介电常数的虚部反映波传播的损耗(通常以热能形式损耗),实部反映波传播时状态的改变,如相位,相速,波阻抗等的改变。
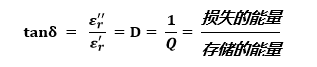
常见的描述介电常数特性的还有一个参数,叫损耗角正切。当我们在矢量图中描述复介电常数时,其实部和虚部呈90°正交关系,二者的矢量和与实轴形成一个夹角,我们把这个夹角δ称为损耗角,这个角的正切值称为损耗角正切,它等于介电常数定义中虚部和实部的比值。损耗角正切还有一个常用的名称——损耗因数(Df),它等于品质因数的相反数。其物理含义是在一个周期内介质损失的能量和贮存能量的比值。 

介电常数是一个由本身性质和外界环境共同决定的反映介质电特性的物理量。宏观上反映介质对电磁波辐射,散射,反射,吸收,传输等特性,微观上反映物质内部化学和物理结构。通过它将介质极化的宏观现象和介质的微观结构联系起来。
介电常数是物体的重要物理性质,对介电常数的研究有重要的理论和应用意义。今时今日,电气工程中的电介质问题、电磁兼容问题、生物医学、微波、电子技术、食品加工和地质勘探中,无一不利用到物质的介电特性,比如在日趋复杂的现代电子系统中,大量的新材料被广泛的应用到各种电子系统中。作为介质材料被应用的场景很多,例如PCB的基板材料、天线的天线罩、大功率真空器件使用的陶瓷材料、液晶材料等。正因此,对介电常数的准确测量也提出了要求。目前对介电常数测量方法的应用可以说遍及民用、工业、国防军工的各个领域。典型的应用场景如下表所示:
介电常数测量典型应用

在这些应用场景中,用户需要对材料的电气性能,尤其是作为介质的电气性能有足够准确的评估和认识,以便缩短设计周期、提升产品质量。这些性能由一组介电性能参数来描述。通过对介质材料的介电性能进行准确测量,可以为研发、设计和生产场景提供第一手的数据,以便优化设计、改善工艺。
二、测试方法
目前测量介电常数常用的方法主要有网络参数法、谐振腔法、平行板电容法、同轴探头法等等。每种测试方法都有自己的适用范围,并没有一种能够适用所有场景的通用方法,因此需要根据以下特性选择合适的测试方法:
★ 测试频率范围
★ 期望测试的εr值范围
★ 期望达到的测试精度
★ 材料的形式 (液体、粉末、固体)
★ 被测件尺寸
★ 被测件是否可破坏
★ 被测件是否可直接接触
★ 测试温度等
由PA视讯科技小编来给您介绍最常用的网络参数法和谐振腔法。
网络参数法----------------------------------------------------------------01
将样品及传感器视为一个单端口或双端口网络,利用时域法、传输/反射法、多厚度法、多状态法、自由空间法等测试出其表征网络特性的参数,通常是散射参数或复反射系数,据此推出材料的复介电常数及复磁导率。
谐振腔法------------------------------------------------------------------02
将材料样品分别置于一个封闭或开放式谐振腔中电场最强和电磁场最强处,利用样品放置前后对腔体电磁参场结构的改变,通过测试腔体的品质因数及谐振频率的变化,从而推算出材料的电磁参数。
这两种不同的介电常数测量方法适用于不同的场景,具体可参考下表:
网络参数法和谐振法比较

三、测试指标
针对网络参数法和谐振腔法,又可细分为许多方法。比如从网络参数法衍生出的传输反射法、自由空间法、终端短路法;从谐振法衍生出的微扰法、谐振腔法,准光腔法等。以下对具体的测试方法和指标进行说明。
3.1 网络参数法>>>
3.1.1传输反射法
测试方法:将测试材料制作而成的待测样品均匀填充于波导、同轴线等标准传输线内,或者将待测样品制作成微带线、共面波导等微波传输线,构成一个互易双端口网络,通过矢量网络分析仪测量出该双端口网络的散射参数。根据网络参数模型即可计算出被测样品的电磁参数。

测试指标:
✔ 测试频率:0.5~40GHz
✔ 测试范围:
◆ 介电常数εr:2.0~100
◆ 电损耗角正切tanδ:0.1~10.0
3.1.2自由空间法
自由空间法是传输/反射法的一个特例。它直接将传输路径简化为自由空间。自由空间的样品安装方便,克服了闭场域下的同轴线法及其矩形波导法中的配合间隙问题。它利用微波天线作为电磁波收发装置,测试时待测材料应放在天线的远场处,根据测试需要,可通过模式转换器对波型进行转换,波照射到待测样品上会发生反射和透射,通过收发天线分别接收这些反射和透射信号,然后根据自由空间法的物理模型计算得到待测材料的复电磁参数。

测试指标:
✔ 测试频率:2~18GHz
✔ 测试范围:
◆ 介电常数εr:2.0~100
◆ 电损耗角正切tanδ:>0.1
3.1.3终端短路法
该测试方法将待测样品放在终端短路的微波传输系统中,作为传输系统的一部分通过测量填充材料后波量的偏移和驻波计算出材料的复介电常数。

测试指标:
✔ 测试频率:0.5~40GHz
✔测试范围:
◆ 介电常数εr:2.0~15
◆ 电损耗角正切tanδ:0.001~2.0
3.1.4网络参数法总结

3.2 谐振法>>>
3.2.1传输线谐振器法
测试方法:将待测样品制作成微波传输线谐振器,如带状线,微带线,共面波导等,然后测量该传输线谐振器的谐振频率和品质因数,就能够根据传输线理论得到材料的复介电常数。

测试指标:
✔ 测试频率:1.0~10.0GHz
✔ 测试范围:
◆ 介电常数εr:1.5~20
◆ 电损耗角正切tanδ:5×10-4~ 1×10-2
3.2.2谐振腔法
测试方法:将介质放在各种微波谐振腔内,得到加载样品前后腔体的谐振频率和品质因数,由严格的电磁场理论分析求解出待测样品的复介电常数,该方法的测试精度很高。

测试指标:
✔ 测试频率:8.5 ~ 18GHz,18 ~ 40GHz
✔ 测试范围:
◆ 介电常数εr:1.25~12
◆ 电损耗角正切tanδ:1×10-2~ 5×10-5
3.2.3准光腔法
测试方法:由不同曲率半径的凹球面镜构成,属于开式谐振腔,是光学谐振结构在微波,毫米波频段的延伸,谐振频率较高,主要用于毫米波频段的介质参数测试。

测试指标:
✔ 测试频率:18~100GHz
✔ 测试范围:
◆ 介电常数εr:1.0~10
◆ 电损耗角正切tanδ:1×10-4~ 5×10-3
3.2.4谐振法总结











关注微博
关注微信
关注公众号
关注抖音号