[技术前沿]科学家用银线团搭建「纳米线网络」,就像大脑一样运作
然而随着计算机算力的不断提升,计算机的AI计算已经与人脑有了本质的区别:与人类大脑相比,AI通过在大数据中寻找模型规律的能力是人类大脑远不能及的。

但是人类的大脑显然不相信「大力出奇迹」,并且大脑处理的信息往往都是稀疏、复杂而且时时都在剧烈变化的。
这也是如今不少AI科学家们梦寐以求的特性。最近,来自悉尼大学和日本国家材料科学研究所的科学家们在自然通讯上发表论文,试着通过使用纳米线网络(NWN)来模拟人类大脑在受到电激时的反应,实验效果还不错。
所谓纳米线网络是由一堆平均长度不超过10微米,直径不超过500纳米的银纳米团随机铺在晶圆上,并且在上面覆盖一层约1纳米厚的绝缘聚合物。

与传统的集成电路不同的是,当电流流经网络时,将引起银离子在聚合物中迁徙,从而在流经不同的类似突触结构时,便会产生与人类大脑类似的反应。
这也为从微观物理结构角度来解释大脑的工作原理打下了基础。

研究团队的最新结果表明,将纳米线网络保持在一个类似「混沌边缘」的状态,在处理任务时可以获得相当高效而且理想的结果。
这似乎为人工智能计算打开了新的大门。

纳米线网络模型
研究人员利用含有PVP涂层的自组装银纳米线形成高度无序、复杂的网络拓扑。NWN作为一种神经形态设备,在整个网络的固定电极位置之间应用偏压操作。
为了更深入地了解神经形态动力学,研究人员开发了一个物理驱动的 Ag PVP NWN 计算模型。

图a. 自组装银纳米线光学显微镜图像(1:100微米)
图c. Gjn对∣Λ∣的非线性相关性,即产生类似开关的交界动态
当 0 ≤ ∣Λ∣ < Λcrit 时为绝缘。当∣Λ∣ 接近 Λcrit 时,交界处过渡到隧穿状态,其中电导随 ∣Λ∣ 的增加呈指数增长。
接下来,论文介绍了使用该模型做的模拟实验,分析该神经形态系统的网络级动态。
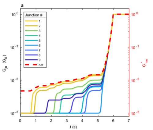
NWN的自适应

图a. 初始不活动的 NWN(所有交界处 Λ = 0)的 DC 激活曲线
图b. NWN 的快照可视化,显示第一传输通路的形成,对应到最短路径长度 n。
图c. 稳态网络电导
该部分的研究结果表明,NWN能够自适应地响应外部驱动,并且可以在双稳态(LCS和HCS)之间进行一阶相变。这些全局网络动态状态源于节点之间的循环连接及其切换状态。
节点切换驱动非本地传输
网络激活或去激活可以理解为节点之间的循环连接中出现的集体效应。
根据基尔霍夫定律(KVL),所有进入某节点的电流总和等于所有离开这节点的电流总和;沿着闭合回路所有元件两端的电压的代数和等于零。
经过一系列交汇点的切换,实验结果表明,传输通路的出现是因为复杂网络拓扑结构和忆阻连接点切换之间产生的耦合。当连接点过渡到导电状态时,会引发级联活动,自适应地重新将电压分配到周围。
雪崩开关动力学
研究团队发现,在神经元群和其他神经形态系统中,具有无标度大小和生命周期事件统计数据的雪崩,这是临界动力学的一个标志。
通过改变远离阈值Vth的驱动电压强度,雪崩分布开始偏离幂律。

当V*<1时,网络中无法形成通路,切换会导致小规模雪崩(图中黑点所示)。
当V*接近1时,分布延长,成为幂律(图中红点所示)。
当V*=1时,即网络激活时,双峰分布明显,雪崩特征明显且出现在幂律尾部。
随着网络规模增加,凸起相对于幂律区域的概率密度也会增加。这表明这些异常大的雪崩符合超临界状态。
用信号控制网络状态
在不同的电信号刺激下,纳米线网络呈现出了不同状态的反应。想要让纳米线网络呈现出「边缘混沌」状态,需要令驱动系统的交流电信号的李雅普诺夫指数λ≈0。

当λ≈0的时候,系统会进入到「边缘混沌」状态
另外研究还发现,当慢速驱动时,网络能够适应并维持扰动幅度,而当快速驱动时,网络则无法适应扰动,并且会导致相邻网络节点分离。而频率的快慢则取决于信号的幅度以及网络的结构(大小和密度)。而在扰动收缩和扰动增长之间的动态平衡机制,则可以维持系统的稳定性。
所以通过调整驱动信号来控制系统状态,可以令纳米线网络维持在理想的状态下。
纳米线网络初试锋芒
为了验证纳米线网络的性能,研究团队使用它进行了简单的波形变换工作。
将正弦波输入网络,通过线性回归模型来训练不同目标的波形,最后将纳米线电压作为输出。可以获得下图的波形:

可以验证,不同的λ值对应着不同的变换精度,当λ≈0时,系统精度达到了0.95,对于方形波而言,当网络处于「混沌」状态时(λ>0),精度会迅速下降。根据不同复杂度的计算任务,系统的计算精度展现出不同的变化,但是当系统处于「混沌边缘」状态时,表现最为出色。
总而言之,纳米线神经网络可以通过控制输入信号的控制下可以在有序和混沌状之间进行调整,这表明纳米线网络可以调整成为与大脑类似的,多样化的动力学机制,在信息处理以及人工智能的相关计算领域潜力巨大。
对于传统的人工智能网络而言,计算机在训练网络算法时需要判断给哪个节点分配适量的负载,而这套系统则不需要类似的算法,因为纳米线网络可以自动适应并分配节点的负载。
这可以节省许多的计算资源,还能够降低AI计算的碳足迹,发表这项研究的科学家说到。










关注微博
关注微信
关注公众号
关注抖音号