[科普]无源互调(Passive Inter-Modulatio)产生的物理机制
随着移动通信系统中的灵敏度要求和发射功率不断提升,无源互调(PassiveIntermodulation,以下简称PIM)干扰更显突出。系统中的PIM水平已经成为衡量通信系统性能的重要技术指标之一,在通信系统的性能设计、系统研制及频率规划上,都必须重视PIM问题。
PIM现象首先是在生锈金属接触点中发现的,随后又在双工器、衰减器和天线等器件中被观察到。双音信号ω1和ω2经过非线性无源器件传输后会产生2ω1-ω2和2ω2-ω1谐波,如果谐波电平较大且落入接收频带内,就会干扰基波信号,上述过程称为无源互调。在工业应用中,一般采用43dBm双音信号激励下的三阶互调(IM3)输出功率来评估PIM水平。
PIM具有门限效应,当达到特定温度和功率电平时,PIM水平会显著提升。PIM还表现出对外界环境的敏感性,对环境压力、振动、温度等因素都较为敏感,导致PIM在时间上不具稳定性。另一方面,不同于有源互调,PIM的来源较为复杂,产生的谐波很难用滤波器消除。因此,PIM成为先进通信系统中的挑战性问题,迫切需要揭示无源互调的物理机理。
目前,PIM建模仿真研究主要包括物理建模和行为建模。行为建模是利用已有测试数据建立数学模型,从而得到较为准确的PIM预测模型,但物理含义一般有所欠缺。物理建模是通过研究PIM物理机制建立相关物理模型,进而量化PIM水平。在复杂通信系统中,PIM通常是多种物理机制共同作用的结果,且不同器件中的主导机制各不相同,因此,仅对单一的物理机制进行PIM分析往往是不全面的。本文对PIM的多种物理机制进行分析总结,阐述其相关研究方法。
1.接触非线性
接触非线性一般表现为同轴连接、金属间搭接处等接触界面的非线性电流-电压特性。一般而言,非线性效应产生于两种接触结构:金属-绝缘体-金属(MIM)接触和金属-金属(MM)接触,如图1所示。这两种接触结构可能同时存在,例如铜-铜(MM)接触界面可能局部存在氧化铜导致MM和MIM结构共存。其中,MIM的接触特性易受隧穿效应和热电子发射机制的影响,MM接触特性易受金属热膨胀和热阻效应的影响。下面介绍接触非线性的主要物理机制。
图1 射频连接器件的MIM接触与MM接触示意图
1.1 隧穿效应
1.1.1场致发射
当绝缘介质两端施加的电场E很大时,会发生场致发射(又称F-N隧穿),F-N隧穿的电流密度表达式如式(1)所示:
其中,*Tm为电子在绝缘体中的有效质量,ϕB为势垒高度,E为电场强度,q为电荷量,h是普朗克常量。
1.1.2场致热电子发射
场致热电子发射介于场致发射与热电子发射之间。金属中的电子在电场和热能的共同作用下被发射到绝缘介质的导带。场致热电子发射电流密度为:

式中,q为电荷量,m为电子质量,k为玻尔兹曼常数,T为温度(K),为普朗克常数,ϕB为势垒高度,E为电场。上述不同电子输运过程的能带图如图2所示。

图2 不同电子发射机制的能带图
1.1.3Poole-Frenkel发射
Poole-Frenkel发射通常发生在高温和高场强条件下。处在陷阱中心的电子,其库伦势能会被加在介质上的电场降低,进而增大了电子隧穿和受热激发跃迁到绝缘体导带中的概率。当陷阱和电子间是库伦引力势时,P-F发射电流密度为:

其中,μ是电子迁移率,E为电场,k为玻尔兹曼常数,T为温度(K),εi为介质的相对介电常数,NC是导带的状态密度,qϕT是陷阱能级。Chiu等研究了Pr2O3在高温和高场强时的P-F发射机制,结果如图3所示。对比300~400K温度下MIS电容的J-E关系和P-F发射的预测曲线,可以看到P-F发射模型在高场强时的预测效果很好,证明高温和高场强下的主要导电机制为P-F发射。

图3 以Pr2O3/SiON为势垒的MIS结构电容的J-E关系与P-F发射模型的预测曲线
1.1.4跳跃导电
跳跃导电是指电子通过隧穿效应,从介质薄膜的某一陷阱“跳跃”到另一个陷阱的过程,跳跃导电机制的能带图如图4所示。跳跃导电的电流密度为:


图4 跳跃导电的能带图
其中,a为平均跳跃距离(即陷阱的平均间隔),n是介质导带中的电子密度,v为电子在陷阱处热振动的频率,Ea是电子的激活能(即陷阱能级到导带底所需的能量),k为玻尔兹曼常数,T为温度(K),E为电场。
1.1.5离子导电
离子导电是指离子在外加电场的作用下移动,由于外加电场对缺陷能级产生影响,离子可能穿过势垒到达另一个缺陷,且能带结构会随电场发生变化,离子导电的电流密度为:

其中,J0是比例常量,qϕB是势垒高度,E是电场强度,k为玻尔兹曼常数,T为温度(K),d是两个相邻跳跃位置的间距。
1.2 热电子发射
当势垒宽度过大且温度足够高,除隧穿效应外,电子还会由于热激发获得足以越过势垒高度的能量进入到绝缘体导带,热发射电流密度取决于越过绝缘体的电子数量。即使氧化层厚度在几百纳米时,热电子发射效应仍可能发生。假定势垒高度ϕ与施加的电场无关,则两金属电极间的热电子发射电流密度为:

实际上,受电极界面处的极化效应而产生的镜像力影响,势垒高度ϕ会随着电场发生变化,此时热发射电流密度为:

其中,
,K*为高频常数,E为电场强度。Zhang等通过建立铜-铜氧化物接触界面势垒模型分析PIM,并提出基于热电子发射机制的等效电路模型,如图5所示。将模型预测结果与实验结果对照,证明了氧化层中的热电子发射是非线性的主要来源。当氧化膜完整时,线性电流和非线性电流水平相当,此时PIM较为显著;随着压力的增加,氧化膜被破坏,线性电流较之前会快速增长一个数量级,而非线性电流的变化很小,PIM的影响显著下降。

图5 考虑热电子发射的铜-氧化物-铜接触等效电路模型
1.3 接触的其他影响因素
接触非线性还考虑了接触表面粗糙度与接触间非对称性等因素对PIM的影响。另一方面,学者们通过射频连接器件的振动测试、加速退化测试以及环境温度建模研究了机械应力与热效应等因素对PIM的影响,进一步修正了预测模型的精度。
2.材料非线性
材料非线性一般是由材料的本身特性或材料在多物理场耦合过程作用下而产生的非线性效应。一方面,由于材料的固有特性,如铁电材料的压电极化与自发极化特性会导致电学非线性;另一方面,由于材料受单一物理场如热、力、电磁效应以及它们之间相互耦合的影响导致非线性效应。下面介绍材料非线性的主要产生机制。
2.1 铁电铁磁材料
铁电材料广泛应用于大容量电容、光波导和可调谐微波器件中,由于铁电材料具有压电性(压电极化)和铁电性(自发极化),材料内部发生极化时会在表面产生极化电荷,极化与去极化过程的不可逆性是造成非线性的主要原因。铁磁材料是指易于磁化的一类材料,常见的有铁、钢、钴、镍等。铁和钢等材料常用作移动通信系统中天线或大型组件的支撑部分;金属镍有较强的抗腐蚀能力,常被用作连接器或同轴线的电镀层,其非线性与磁场作用相关,尤其是磁化与消磁过程的不可逆性。Jin等考虑镍作为连接器涂层中的非线性源,通过建模分析发现,磁性材料产生的非线性电流与通过镍层的电流量有关,并结合趋肤效应研究了信号频率对PIM的影响。
2.2 电阻非线性
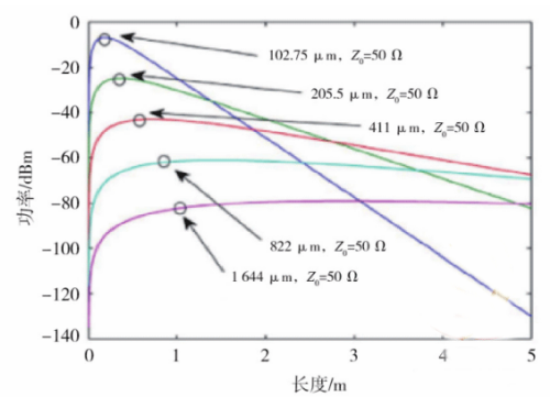
电阻非线性主要是传输线的电磁特性、热效应、散射效应相互作用的结果,宏观上可以认为是物理场对非线性电导率的影响。传输线的电热效应一直是PIM研究中的热点问题,Wilkerson等提出了基于微带线的分布式电热互调失真理论,认为射频电流在微带线上传输时会导致温度变化,进而改变金属材料电阻率(或电导率),PIM产物是交变电阻率与交变电场相互作用的结果,并推导出损耗和色散条件下沿线路长度变化的PIM水平,如图6所示。

图6 考虑电热耦合时的微带线PIM随线长和线宽的变化
Rocas提出了基于传输线自热效应的建模方法,将分布电阻分解为恒定项(不随温度变化)和随温度变化项,借助传输线方程求解出PIM产物的功率表达式,建模过程如图7所示。另外,文献的研究发现,在有耗集总微波元件中,电导率的温度依赖性会导致电子特性畸变,且畸变特性依赖于材料参数和信号振幅。

图7 考虑自热效应的传输线模型
除了电热效应引起PIM之外,Zelenchuk认为传输线的PIM产物是由导体材料中微弱的分布非线性电阻引起的,根据实验结果建立非线性电阻模型,并详细分析了非线性散射、线路损耗和负载匹配对PIM水平的影响,最后通过近场测量微带线上的PIM分布验证了模型的正确性,结果如图8所示。另外,可通过实验数据拟合求解出微观尺度下的非线性电导率值。

图8 考虑非线性散射的微带线PIM分布
2.3 材料的其他影响因素
研究发现,在发射功率增大时,PIM随之增大,并且不同工艺水平下的传输线,其PIM差异可达50dB左右。另一方面,微带传输线的几何线宽与信号线表面的点状污染也会影响PIM产物的大小。微带线的线宽越大,PIM水平越低。金属表面污染的分布也会影响PIM水平,通过移动黑锡污染源可以发现,只有分布在微带边缘处的黑锡污染源会导致PIM水平急剧恶化,而污染源在其他位置时,PIM水平几乎不变,PIM特性如图9所示。

图9 PIM3随点状污源位置变化的规律
3.结语
本文主要介绍了无源互调(Passive Inter-Modulatio)产生的物理机制。不同器件中的PIM机理各不相同,以射频同轴等器件为研究对象的接触非线性中,PIM主要来源于接触中的隧穿效应、热电子发射等;材料非线性主要来源于微带线等无源器件中的热电耦合和非线性散射效应。PIM的物理机制研究一直是电磁领域的研究热点,目前仍面临部分挑战,比如系统中PIM的时变特性问题、其他无源器件的多物理场耦合建模、无源器件底层的PIM影响因素(如影响电子运动的因素)等。未来,PIM机理的研究建模应深入探索无源器件的底层非线性机制,并结合多物理场建模与分析技术,深入全面地揭示无源互调的产生机制。
以上内容由PA视讯科技小编转载整理,感谢您的来访,希望对您有所帮助。










关注微博
关注微信
关注公众号
关注抖音号